Cousins in Binary Tree
Description
In a binary tree, the root node is at depth 0, and children of each depth k node are at depth k+1.
Two nodes of a binary tree are cousins if they have the same depth, but have different parents.
We are given the root of a binary tree with unique values, and the values x and y of two different nodes in the tree.
Return true if and only if the nodes corresponding to the values x and y are cousins.
Example 1:

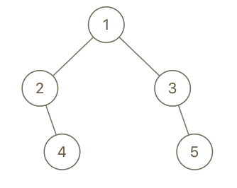
Input: root = [1,2,3,4], x = 4, y = 3
Output: false
Example 2:

Input: root = [1,2,3,null,4,null,5], x = 5, y = 4
Output: true
Example 3:

Input: root = [1,2,3,null,4], x = 2, y = 3
Output: false
Note:
The number of nodes in the tree will be between
2and100.Each node has a unique integer value from
1to100.
code
Last updated